緑内障の研究
眼瞼圧と緑内障の関係性について
緑内障は本邦の中途失明の原因第一位の疾患であり、眼圧・眼血流・視神経の脆弱性などが報告されており、眼圧がその進行の主な原因とされています。眼瞼は、眼表面の保護、視覚の確保、さらには涙液の安定性に働いていますが、眼球を圧迫すること(眼瞼圧)により眼圧を変化させることが推測されます。一方で、体位により眼瞼圧が変化し、坐位よりも仰臥位で眼瞼圧が高いことも確認しており、眼瞼圧は眼圧の変動に大きく影響し、緑内障の病態に関与している可能性が推測されます。
1. CL型眼圧計で明らかになる夜間・睡眠中の眼圧変動

図1. CL型眼圧計による眼圧日内変動の測定
実際、日中の外来診察時には眼圧が良好でも、夜間や早朝などに眼圧上昇があり、視野障害が進行しているというような症例もあります。近年、コンタクトレンズ(以下CL)型眼圧計が開発され、終日装用して眼圧変動を記録することが可能となりました。測定結果の1例(図1)に示すように瞬目に伴いスパイク様の眼圧上昇を示すこと、睡眠中に眼圧が上昇していることから、閉瞼による眼瞼圧により眼圧が上昇する可能性が考えられます。
2. 高感度センサーで実現した新しい眼瞼圧測定器の開発

図2.眼瞼圧測定器(ELTAS D500)
眼瞼が眼球を圧迫する圧力が眼瞼圧ですが、私たちは静電気容量センシングを応用した高感度の圧力トランスデューサーを使用した小型で簡便な再現性の高い眼瞼圧測定器を開発しました(図2)(Sakai et al. Eye Contact Lens. 2012) 。
以前に私たちの研究では、プロスタグランディン製剤点眼で眼瞼に変化をきたす代表であるDUES(deepening of upper eyelidsulcus)のある症例と無い症例の眼瞼圧を測定し、DUES(+)群ではDUES(-)群に比較して眼瞼圧が有意に高くなっていることも報告しています(図3)。
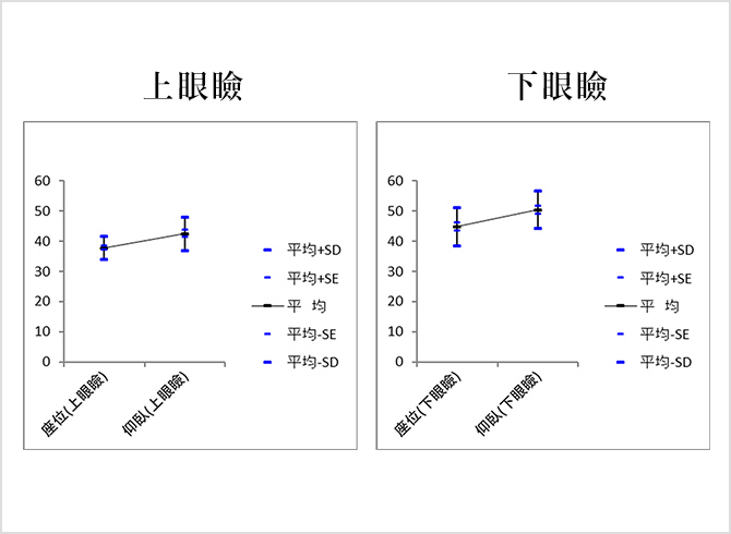
また、体位による眼瞼圧の変化についても坐位に比べて仰臥位で眼瞼圧が高いことを確認しています(図4)。このように眼瞼圧は眼圧の変動に影響を与える可能性が高く、緑内障患者の眼瞼圧を測定し、緑内障と眼瞼圧の関連を明らかにすることで、緑内障の病態解明および治療に大きく貢献することができる可能性があります。

図3. DUES(+)群とDUES(-)群の眼瞼圧の比較

図4. 体位による眼瞼圧の変動
お問い合わせ
見学をご希望の方、またはお問い合わせの方は、こちらからお手続きください。
Contact

