研究について

研究内容

大腸癌におけるKLHL5の機能解析

垣生 恭佑

  • The Cancer Genome Atlasにおける大腸腺癌のRNA-seq解析によって得られたトランスクリプトームデータを用いてKLHLファミリーに着目し、KLHL5を進行大腸癌(CRC)予後予測のための有望なバイオマーカーとして同定した
  • CRC細胞株においてKLHL5を発現抑制すると細胞増殖、遊走能が抑制され、さらに培養期間の延長により形態変化と細胞死を引き起こした
  • プロテオーム解析では、CRC細胞株におけるKLHL5の発現抑制は、細胞周期抑制因子の発現を亢進させる一方で細胞周期促進因子の発現を低下させた
  • 細胞周期解析では、CRC細胞におけるKLHL5の発現抑制でG1期およびG2/M期での停止を示し、G1からS期への移行およびG2/M期からの進行が抑制された
  • KLHL5はCRC細胞において、腫瘍微小環境下で細胞周期進行を維持し、アポトーシスを回避する生存因子として機能することが示唆された

血管内皮におけるCullin-3の役割

渡部 克哉

  • 血管内皮は炎症反応や透過性制御において重要な役割を果たし、中でも内皮細胞間接着を担うVE-cadherinの制御は、血管バリア維持に不可欠である
  • タンパク質分解に関わるユビキチンリガーゼ複合体の構成因子であるCullin-3(CUL3)に着目し、CUL3ノックダウンによりVE-cadherinの発現が低下、細胞間接着構造が障害され、血管透過性が亢進することが明らかとなった
  • 血管内皮特異的CUL3欠損マウスを作製し、タモキシフェン投与により誘導したところ、投与後数日以内に多臓器障害と腸管炎症を呈して死亡することが確認された
    絨毛短縮や粘膜下層への炎症細胞浸潤が顕著であり、血管内皮マーカーCD31やE-cadherinの発現低下を認めた
  • CUL3はVE-cadherinを介した血管内皮間の接着構造の維持に不可欠であり、その機能破綻が臓器障害や炎症を引き起こすことが示唆された

ヒストンメチル基転移酵素Ezh2によるCD8+T細胞依存的抗腫瘍免疫の制御

髙木 健次

  • ヒストンH3K27メチル基転移酵素活性を有するエピジェネティック因子Ezh2が、エフェクターCD8 T細胞の終末分化を抑制し、終末分化したエフェクターCD8 T細胞ではヒストンH3K27メチル化が低下することがわかっており、抗腫瘍免疫におけるEzh2の役割に着目した
  • Ezh2 KOマウスでは早期は腫瘍サイズが縮小する傾向にあったが、7日目以降で腫瘍サイズがWTマウスに比べ有意に増大した。また、7日目に解析したTILsではCD8 T細胞数がEzh2 KO群で有意に減少した
  • Ezh2 KO CD8T細胞では、エフェクター分子の発現がWTに比べて早期から増加したが、活性化後に細胞死が急速に誘導された
  • Ezh2がCD8T細胞の機能獲得と生存のバランスを調節することで抗腫瘍活性を制御している可能性が考えられ、RNA sequenceや細胞内代謝の解析を通して、その詳細なメカニズムを検討している段階である

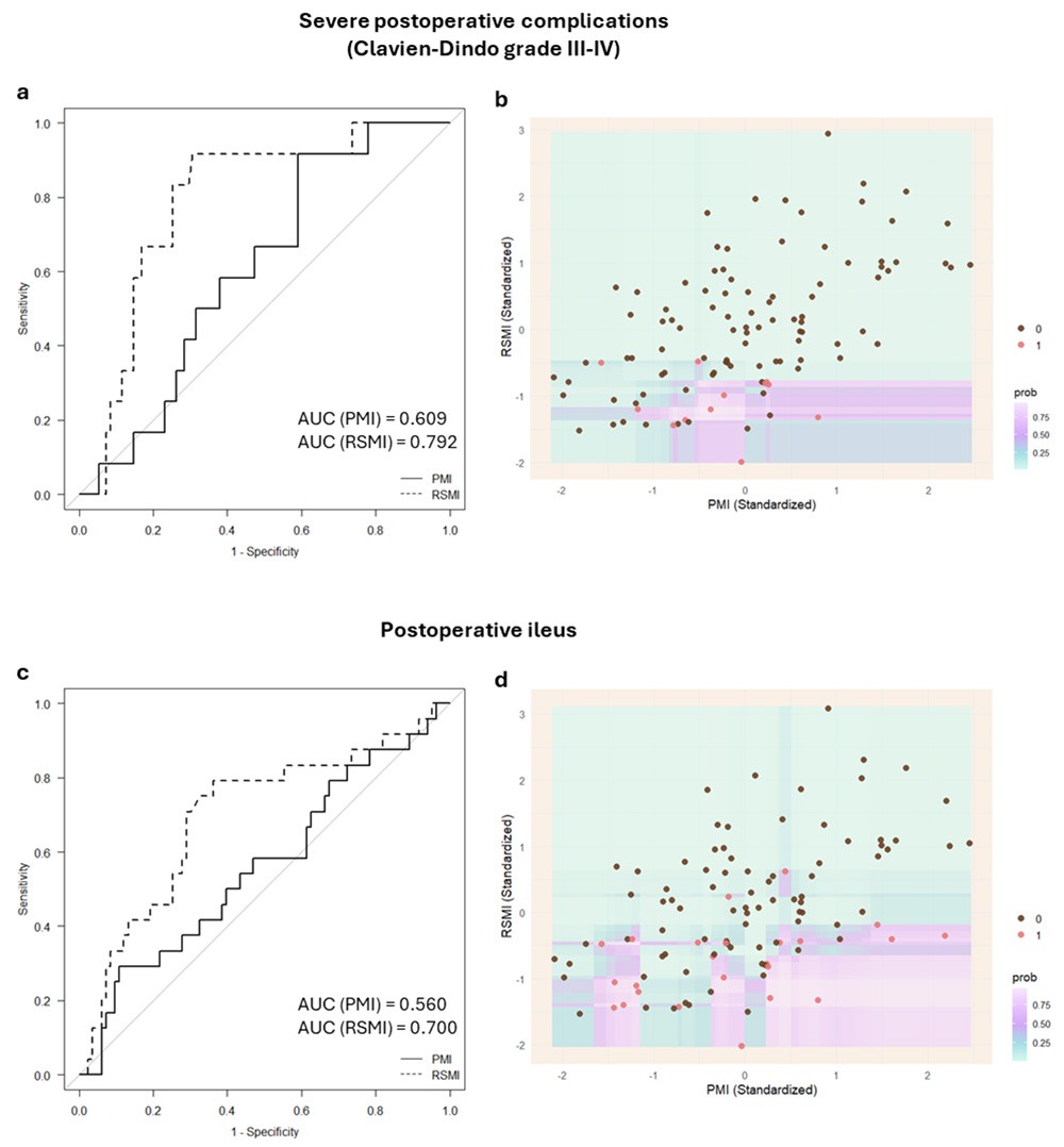
骨格筋と腸管平滑筋の相関性および術後合併症と組織学的変化の関連解析

久米 達彦

  • サルコペニア(骨格筋減少)が術後合併症や予後に影響する直接的な要因は未だ明らかなになっていない
  • 骨格筋量の指標として広く使用されているPsoas Muscle Index (PMI)がCT画像から計算されることに着想を得て、MRI画像から直腸平滑筋量を定量化し、新たな指標を定義(RSMI)
  • 直腸癌患者を対象にPMIとRSMIの有意な相関性とRSMI低値は術後重症合併症や術後イレウスの独立した因子であること、両者に関してPMIよりRSMIの予測能が高いことを明らかにした
  • RSMI は、術後重症合併症の新たな予測因子として機能する可能性が示唆された。今後は、直腸以外の腸管での評価や蛍光免疫染色による組織学的変化の評価、シングルセルトランスクリプトーム解析を検討している

肥満外科手術を行った肥満症患者の予後予測にむけての摘出標本の評価

阿部 陽介

  • 肥満外科手術は肥満症に対する治療として、十分な効果をもたらすことが知られているが、中には、体重減少が不十分であったり、リバウンド症例がみられたりと、術後の成績は個々人で一貫していない
  • リバウンドによって心血管イベントのリスク高くなる上に、手術後の患者については他に減量に対する有効な手段が限られてしまうが、有効性の低い症例の特徴については詳細が未だわかっていない
  • 今回、リバウンドや体重減少の経過における肥満外科手術の有効性と組織切片の特徴を多面的に評価し、予後予測因子を明らかにすることで肥満関連疾患の予防や改善・治療へとつなげていくことを目的としている

多施設共同研究

術前DCF療法を施行した食道癌患者における術後補助療法としてのニボルマブの有効性と安全性を検討する第II相試験(PENTAGON trial)

神戸大学医学部附属病院 食道胃腸外科

ロボット支援手術および内視鏡手術におけるAIナビゲーションシステムのfeasibility study

慶應義塾大学医学部一般・消化器外科

再発高リスク消化管間質腫瘍に対する完全切除後の治療に関する研究「STAR ReGISTry」の追跡調査

国立がん研究センター中央病院

局所進行直腸癌に対する術前短期放射線療法および化学療法の安全性と有効性について検討する第Ⅱ相臨床試験

神戸大学医学部附属病院 食道胃腸外科

Stage II大腸癌のハイリスク因子に関する前向き観察研究

がん研有明病院 大腸外科

根治的外科治療可能の結腸・直腸癌を対象としたレジストリ研究(GALAXY trial)

九州大学大学院 消化器・総合外科
国立がん研究センター東病院

術前診断 Stage II/III 結腸癌に対する体腔内吻合と体腔外吻合の長期予後を比較する無作為化試験

東京科学大学病院 大腸・肛門外科

骨盤内悪性腫瘍に対するロボット支援骨盤内他臓器合併切除に関する多施設共同後ろ向き観察研究

東京医科歯科大学 消化管外科

閉塞性大腸癌に対するステント挿入が腸内細菌叢に及ぼす影響に関する研究

日本医科大学付属病院 消化器外科

直腸癌術後局所再発のデータベース作成と臨床病理学的研究

日本医科大学付属病院 消化器外科

科学研究費

<現在採択中の課題>

課題番号研究種目年度研究課題代表者
25K03496基盤研究B令和7~11年度神経の熱損傷を回避するラマン分光/フェトム秒レーザーによる新規エネルギー装置開発押切 太郎
25K19767若手研究令和7~9年度オキサリプラチン誘発抹消神経障害をターゲットとした創薬研究および作用機序の解明秋田 聡
25K17075若手研究令和7~9年度若手外科医教育を目指した結腸周囲膜癒合構造のバーチャル3Dモデル開発大木 悠輔
23K08052基盤研究C令和5~7年度GVHD誘導マウスでのサイトカイン阻害による胆道閉鎖症の炎症標的型治療法の開発桝屋 隆太

<過去に採択された課題>

課題番号研究種目年度研究課題代表者
22K08892基盤研究C令和4~6年度腫瘍浸潤リンパ球の動態を考慮した食道癌新規術前療法の開発押切 太郎
22K12803基盤研究C令和4~6年度患者予後と医療経済を改善する超小型非侵襲的臓器血流測定装置新規開発への挑戦吉田 素平
22K16445若手研究令和4~6年度MMP14を阻害する新たな分子CLIC2をもとにした癌転移抑制剤の開発桑原 淳

その他研究費

許可番号研究科題名代表者
2024A052号ロボット支援手術および内視鏡手術におけるAIナビゲーションシステムのfeasibility study押切 太郎

臨床研究

現在進行中の臨床研究一覧

許可番号研究課題名
2501010号脾摘を行った溶血性貧血患児における血液生化学所見の推移および術後合併症の検討(後ろ向きコホート研究)
2501009号EUSエラストグラフィーは胃GISTの再発リスクを予測する新しいモダリティーとなりうるか
2024A076号StageⅡ大腸癌のハイリスク因子に関する前向き観察研究
2024A058号術前診断StageⅡ/Ⅲ結腸癌に対する体腔内吻合と体腔外吻合の長期予後を比較する無作為化試験
2024A052号ロボット支援手術および内視鏡手術におけるAIナビゲーションシステムのfeasibility study
2024A046号胆道閉鎖症全国登録事業 -胆道閉鎖症の年次登録と予後追跡調査による疫学研究
2408013号サルコペニアの腸管機能に与える影響
2405016号当院での高齢者大腸癌に対する手術成績
2405015号大腸切除病理標本を用いた腸管壁厚の解析
2405014号ダイナミックCTを用いた横行結腸肝弯曲の静脈形態解析
2023A058号直腸癌術後局所再発のデータベース作成と臨床病理学的研究(多施設共同後向き観察研究)
2023A006号骨盤内悪性腫瘍に対するロボット支援骨盤内他臓器合併切除に関する多施設共同後ろ向き観察研究
2022A020号切除不能・再発大腸癌3次治療に対するFTD/TPI+Bevacizumab併用療法のバイオマーカー探索試験(TAS-CC5 Study)
2309007号当院での直腸癌に対するロボット支援下手術の治療成績
2210012号局所切除後の垂直断端陰性かつ高リスク下部直腸粘膜下層浸潤癌(pT1癌)に対するカペシタビン併用放射線療法の有用性の検討
2207013号ロボット支援下腹腔鏡下消化管手術時における、超小型広視野カメラシステム(BirdView)の安全性および有用性の検証
2205010号ロボット支援下腹腔鏡下手術時における、超小型広視野カメラシステム(BirdView)の安全性および有用性の検証
2204002号再発高リスク消化管間質腫瘍に対する完全切除後の治療に関する研究(STAR ReGISTry)の追跡調査
2201010号当院における大腸癌治療の短期成績・長期成績の検討
2204002号再発高リスク消化管間質腫瘍に対する完全切除後の治療に関する研究(STAR ReGISTry)の追跡調査
2201010号当院における大腸癌治療の短期成績・長期成績の検討
2108002号リキッドバイオプシーを用いた切除不能大腸癌に対する血管新生阻害薬の効果予測
2106024号消化管切除手術時の残存腸管血流評価法としてのINVOSの有用性とICG蛍光法による血流評価の比較
2104021号根治的外科治療可能の結腸・直腸癌を対象としたレジストリ研究(GALAXY trial)
2104020号血液循環腫瘍DNA陰性の高リスクStageⅡ及び低リスクStageⅢ結腸癌治癒切除例に対する術後補助化学療法としてのCAPOX療法と手術単独を比較するランダム化第Ⅲ相比較試験VEGA trial(Vanished ctDNA Evaluation for MRD-Guided Adjuvant chemotherapy for colon cancer)
2012023号直腸癌手術における適切なCircumferential resection margin(CRM)とDistal Margin(DM)に関する多施設前向き観察研究